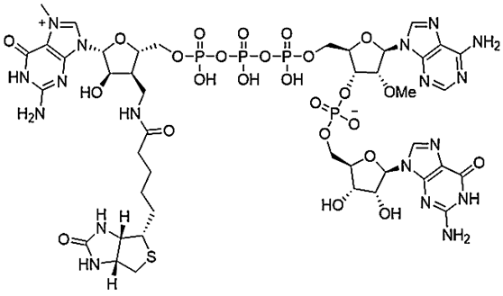
LZCap?AG(3'Ma-Biotin)

| 货号 | HN3008 |
| 分子式 |
C43H60N18O25P4S(游离酸) |
| 分子量 | 1385.01(游离酸) |
| 纯度 | HPLC≥90% |
| 浓度 | 25mM |
| 规格 | 50 μL、100 μL |
| 盐型 | NH4+盐 |
| 保存 | -15°C及以下保存 |

| 货号 | HN3008 |
| 分子式 |
C43H60N18O25P4S(游离酸) |
| 分子量 | 1385.01(游离酸) |
| 纯度 | HPLC≥90% |
| 浓度 | 25mM |
| 规格 | 50 μL、100 μL |
| 盐型 | NH4+盐 |
| 保存 | -15°C及以下保存 |