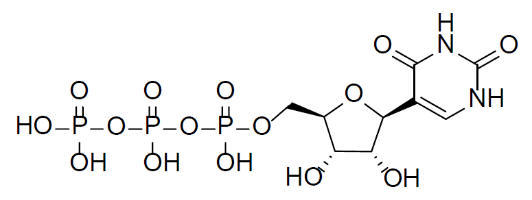
pUTP

| 产品货号 |
HN1001 |
| 分子式 | C9H15N2O15P3(游离酸) |
| 分子量 | 481.4(游离酸) |
| CAS号 | 116295-90-0(游离酸) |
浓度 |
100mM |
| 规格 | 100 μL、1 mL |
| 纯度 | HPLC≥99% |
| 盐型 | Na+ |
| 储存温度 | -15°C及以下保存 |
详情
下载
假尿苷三磷酸(Pseudouridine,pUTP),是一种修饰的嘧啶核苷酸,在mRNA疫苗和药物生产过程中掺入pUTP可提高mRNA的表达量,并降低mRNA在体内的免疫原性,mRNA的免疫原性随着pUTP引入比例的增高而降低。
