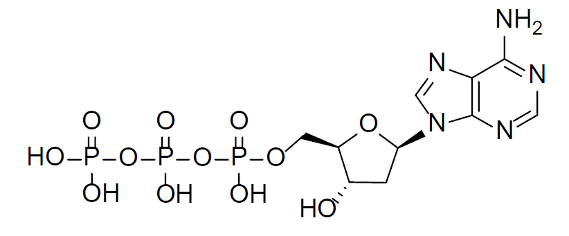
脱氧腺苷三磷酸 dATP

| 产品货号 | HN2001 |
| 分子式 | C10H16N5O12P3(游离酸) |
| 分子量 | 491.18(游离酸) |
| CAS号 | 1927-31-7(游离酸) |
| 浓度 | 100 mM |
| 规格 | 1 mL |
| 纯度 |
HPLC ≥99% |
| 盐型 |
Na+ |
| 保存 |
-20°C保存 |
详情
下载
dATP(2'-deoxyadenosine-5'-triphosphate),脱氧腺苷三磷酸,适用于所有分子生物学应用,包括PCR、实时荧光定量PCR、高保真和长片段PCR、LAMP-PCR、cDNA合成、RT-PCR、RDA、MDA、DNA 标记及 DNA 测序。
